دکستران
رده درمانی: جانشین شونده پلاسمای خون، پلی ساکارید.
| دکستران | |
|---|---|
![]() | |
| شناساگرها | |
| شماره ثبت سیایاس | 9004-54-0 |
| KEGG | C00372 |
| کد اِیتیسی | B05 |
| خصوصیات | |
| فرمول مولکولی | H(C6H10O5)xOH |
| جرم مولی | Variable |
| به استثنای جایی که اشاره شدهاست در غیر این صورت، دادهها برای مواد به وضعیت استانداردشان داده شدهاند (در 25 °C (۷۷ °F)، ۱۰۰ kPa) | |
| | |
| Infobox references | |
|
| |
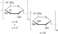
دکستران (به انگلیسی: Dextran)
اشکال دارویی: سرم
موارد مصرف
دکستران در موارد اورژانس در درمان شوک (مانند خونریزی و سوختگی) و افت شدید فشارخون، برای افزایش حجم داخل عروقی مصرفمیشود.دکستران همچنین آنتی ترومبوتیک است. در کروماتوگرافی ژل فیلتراسیون جهت جداسازی پروتئین و دیگر ترکیبات استفاده می شود.
مکانیسم اثر
دکستران پلی ساکارید (متشکل از مولکولهای متعدد گلوکز)افزاینده سریع الاثر حجم پلاسما است . محلول ۱۰% دکستران چهل دارای فشار اسمزی دوبرابر فشار اسمزی پلاسمای هم حجم میباشد. دکستران اثر اسموتیک دارد که مایعات را از فضای بینابینی به داخل عروق کشیده و باعث افزایش حجم خون میشود. "دکستران ۴۰" چسبندگی اریتروسیتها را کم کرده و باعث کاهش چگالی خون میشود لذا از خطر انعقاد نابجای خون میکاهد و موجب تسهیل گردش خون در عروق کوچک و کاهش مقاومت عروقی میشود.
عوارض جانبی
سردرد، تهوع، استفراغ، کاهش غلظت خون، خونریزی، کهیر، خارش.
جستارهای وابسته
منابع
- فرهنگ داروهای ژنریک ایران، دکتر حشمتی ، ۱۳۸۷
